展品搜尋
-
張公廟祀清溪神醫 噶瑪蘭廳志卷五(上) 台灣文獻史料叢刊 -
祖師廟祀清水巖祖師,因為祂能治病 澎湖廳志卷二 台灣文獻史料叢刊 -
疾病流行,蔡善繼四處勸賑施藥 泉州府志選錄 台灣文獻史料叢刊 -
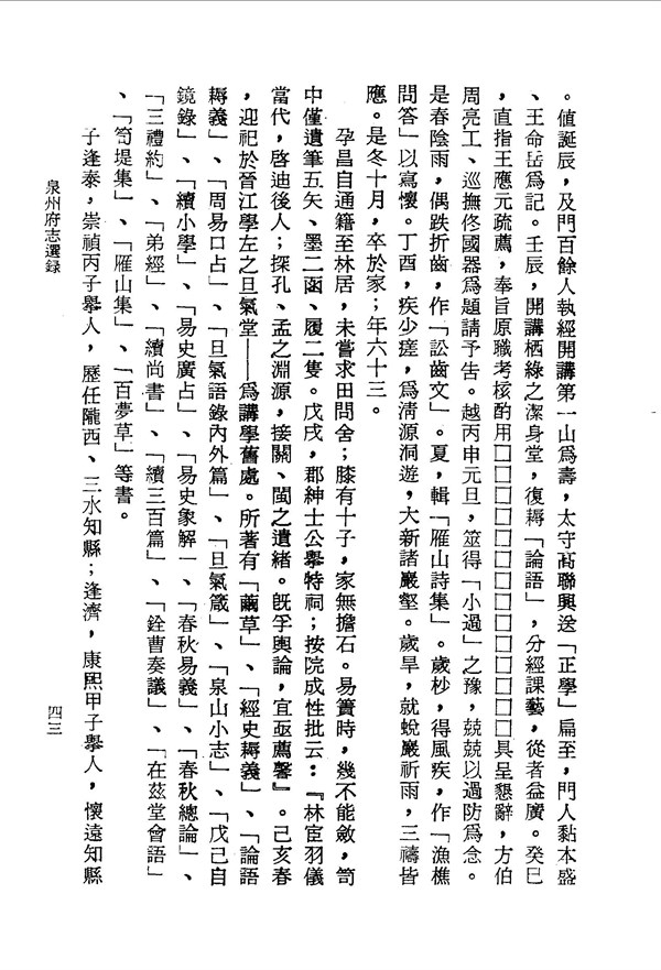
林孕昌父親生病 泉州府志選錄 台灣文獻史料叢刊 -
昌平副以醫藥救民眾 泉州府志選錄 台灣文獻史料叢刊 -
林孕昌得風疾 泉州府志選錄 台灣文獻史料叢刊 -
王忠孝因甲申聞變,傷心吐血 泉州府志選錄 台灣文獻史料叢刊 -
洪有楨因甲申聞變,傷心吐血 泉州府志選錄 台灣文獻史料叢刊 -
沈佺期常以醫藥救人 泉州府志選錄 台灣文獻史料叢刊 -
王應基精通醫術 泉州府志選錄 台灣文獻史料叢刊 -
裴震忠得了血疾 泉州府志選錄 台灣文獻史料叢刊 -
萬正色母親得了眼睛疾病,用舌頭舔過後康復 泉州府志選錄 台灣文獻史料叢刊