展品搜尋
-
行政院文化建設委員會社區活動補助案成果報告書 地方文化館九十二年度鄉鎮藝文活動計畫 編號12 溪哥系列:格盧雅集‧中科院書畫聯展 -
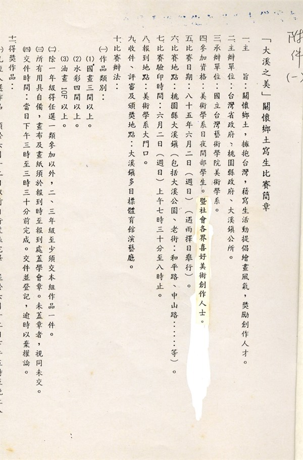
「大溪之美」關懷鄉土寫生比賽簡章 -
大溪鎮大嵙崁文化促進委員八十三年度文化活動「彩繪大地、水墨飄香」–大嵙崁書畫家第一屆美術展覽計畫書 -
「彩繪大地、水墨飄香」大嵙崁文化促進委員會第一屆書畫家美術聯展成果專輯 -
民國85年度「彩繪大地、水墨飄香」大嵙崁第二屆書畫家美術聯展活動實施計畫 -
第十四屆桃源美展下鄉巡迴大溪展覽活動成果紀錄 -
桃園縣大溪鎮「彩繪大地、水墨飄香」大嵙崁第六屆書畫家美術聯展活動 計畫書 -
桃園水利組合灌區圖 -
50年代桃園農民耕耘 -
桃園大圳第二支線落水工 -
桃園大圳供養塔 -
桃園大圳進水口